반응형
Recent Posts
Recent Comments
Link
| 일 | 월 | 화 | 수 | 목 | 금 | 토 |
|---|---|---|---|---|---|---|
| 1 | 2 | 3 | ||||
| 4 | 5 | 6 | 7 | 8 | 9 | 10 |
| 11 | 12 | 13 | 14 | 15 | 16 | 17 |
| 18 | 19 | 20 | 21 | 22 | 23 | 24 |
| 25 | 26 | 27 | 28 | 29 | 30 | 31 |
Tags
- docker
- study
- ssh
- DevOps
- 디자인 패턴
- 14일 공부
- Go-lang
- terraform
- 신혼 여행
- Rust
- MAPF
- 지표
- amazon ecs
- 실용주의 프로그래머
- AWS
- 논문 정리
- Playwright
- 티스토리챌린지
- 회고
- 커머스
- 생성 패턴
- 오블완
- leetcode
- 구조 패턴
- Til
- 청첩장 모임
- 경로 계획 알고리즘
- PostgreSQL
- github
- AWS 비용 절감
Archives
- Today
- Total
밤 늦게까지 여는 카페
BFS 알고리즘 - 하나만 파지 말고 골고루 하는 건 어떨까요? 본문
반응형
안녕하세요. 오늘은 기본적인 경로 계획 알고리즘인 BFS 알고리즘을 공부해보겠습니다!
글의 마지막에 예제 코드도 준비해뒀으니 끝까지 읽어주세요 :)
BFS 알고리즘이란
Breath First Seaech의 약자로 너비 우선 탐색이라고도 합니다.
BFS 알고리즘의 동작 방식을 간단히 설명드리면 갈 수 있는 모든 길을 가본 후에야 다음 단계로 나아가는 탐색법입니다.
BFS 알고리즘은 QUEUE를 이용해서 탐색해야 할 노드들을 관리하며 탐색한 노드는 탐색했다고 표시를 남깁니다.
이러면 중복 탐색이 이뤄지지 않고, 원하는 노드까지의 경로를 탐색할 수 있습니다.
BFS 알고리즘 pseudo code
pseudo code는 다음과 같습니다.
- 시작 노드와 연결된 모든 노드의 탐색을 하는 코드입니다.
def BFS(graph, start_node_id):
queue = [graph.get_node(start_node_id)]
while not queue.is_empty():
node = queue.pop()
if node.is_visited:
continue
graph.set_node_visited(node.id)
queue.push(graph.get_connected_nodes(node.id))
이렇게 설명하니 너무 간단해보이는데 한번 그림과 같이 살펴볼까요?

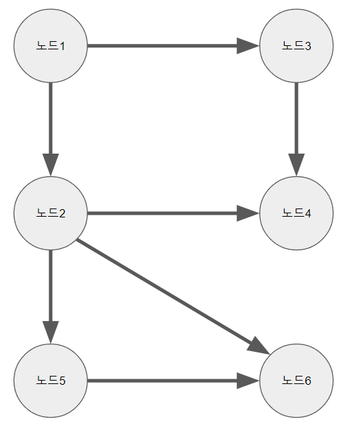
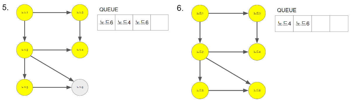
BFS 알고리즘을 이용해서 노드 1에서 노드6까지 탐색해보겠습니다.
탐색한 노드는 노란색으로 칠하고, 앞으로 탐색해야 할 노드는 QUEUE에 적어뒀습니다.


어떠세요? 그림으로 봐도 간단하죠?
BFS 알고리즘 예제 코드
from dataclasses import dataclass
from typing import List
@dataclass
class Node:
id: int
is_visited: bool = False
@dataclass
class Edge:
start_node: Node
end_node: Node
def get_other_node(self, node_id: int) -> Node:
if self.start_node.id == node_id:
return self.end_node
else:
return self.start_node
@dataclass
class Graph:
nodes: dict
adjacent_edges: dict
def get_node(self, node_id: int) -> Node:
return self.nodes[node_id]
def set_node_visited(self, node_id: int):
self.nodes[node_id].is_visited = True
def get_connected_nodes(self, node_id: int) -> List[Node]:
adjacent_edges = self.adjacent_edges.get(node_id, [])
return [edge.get_other_node(node_id) for edge in adjacent_edges]
def BFS(graph: Graph, start_node_id: int):
queue = [graph.get_node(start_node_id)]
stage = 0
while len(queue) > 0:
stage += 1
node = queue.pop(0)
print("방문한 노드: {:d}".format(node.id))
if node.is_visited:
continue
print()
print("탐색 {:d}".format(stage))
graph.set_node_visited(node.id)
queue += graph.get_connected_nodes(node.id)
print("QUEUE: ", [node.id for node in queue])
if __name__ == "__main__":
nodes = {}
for i in range(6):
nodes[i+1] = Node(id=i+1)
adjacent_edges = {}
adjacent_edges[1] = [Edge(start_node=nodes[1], end_node=nodes[2])]
adjacent_edges[1] += [Edge(start_node=nodes[1], end_node=nodes[3])]
adjacent_edges[2] = [Edge(start_node=nodes[2], end_node=nodes[4])]
adjacent_edges[2] += [Edge(start_node=nodes[2], end_node=nodes[5])]
adjacent_edges[2] += [Edge(start_node=nodes[2], end_node=nodes[6])]
adjacent_edges[3] = [Edge(start_node=nodes[3], end_node=nodes[4])]
adjacent_edges[5] = [Edge(start_node=nodes[5], end_node=nodes[6])]
graph = Graph(nodes=nodes, adjacent_edges=adjacent_edges)
BFS(graph, 1, 6)
실행 결과

알고리즘 복잡도
O(|V|+|E|)
(|V|는 전체 노드의 갯수, |E|는 전체 엣지의 갯수를 의미합니다.)
복잡도가 저렇게 나온 이유는 작성된 코드가 모든 노드를 순회하고, 엣지의 수만큼 queue에 노드를 추가하기 때문입니다.
BFS 알고리즘은 어떠셨나요?
앞으로 공부할 알고리즘들과 비교하면 그래도 이해하기 쉽고 구현하기도 쉬운 축에 속하는 것 같습니다.
더 공부하고 싶으신 내용이나 부족한 부분 알려주시면 보완하도록 하겠습니다.
감사합니다 👍
반응형
'알고리즘 > Path Finding' 카테고리의 다른 글
| dijkstra 알고리즘 - 스타벅스로 가는 가장 짧은 길이 어떻게 되죠? (0) | 2023.01.31 |
|---|---|
| DFS 알고리즘 - 하나를 깊게 파는 것도 중요하다구요! (0) | 2023.01.21 |
| MAPF 알고리즘들에서 사용되는 지표 - 만들었으면 얼마나 좋은지 봐야겠죠? (0) | 2023.01.15 |
| Improved CBS - CBS의 한계를 개선해보자! (3) (0) | 2023.01.13 |
| Bypassing Conflicts in MAPF - CBS의 한계를 개선해보자! (2) (0) | 2023.01.10 |